<!DOCTYPE html>
    <html lang="vi" xmlns="http://www.w3.org/1999/xhtml" prefix="og: http://ogp.me/ns#">
    <head>
<title>Thông báo niêm yết công khai Phương án bồi thường, hỗ trợ, tái định cư &#40;Đợt 1&#41; dự án Cao tốc Tân Phú – Bảo Lộc</title>
<meta name="description" content="Thông báo niêm yết công khai Phương án bồi thường, hỗ trợ, tái định cư &#40;Đợt 1&#41; dự án Cao tốc Tân Phú – Bảo Lộc - Savefile - Tin Tức -...">
<meta name="author" content="UBND xã Nam Cát Tiên">
<meta name="copyright" content="UBND xã Nam Cát Tiên [webmaster@vinades.vn]">
<meta name="generator" content="NukeViet v4.5">
<meta name="viewport" content="width=device-width, initial-scale=1">
<meta http-equiv="Content-Type" content="text/html; charset=utf-8">
<meta property="og:title" content="Thông báo niêm yết công khai Phương án bồi thường, hỗ trợ, tái định cư &#40;Đợt 1&#41; dự án Cao tốc Tân Phú – Bảo Lộc">
<meta property="og:type" content="website">
<meta property="og:description" content="Savefile - Tin Tức -...">
<meta property="og:site_name" content="UBND xã Nam Cát Tiên">
<meta property="og:url" content="https://namcattien.dongnai.gov.vn/vi/news/savefile/thong-tin-tuyen-truyen/thong-bao-niem-yet-cong-khai-phuong-an-boi-thuong-ho-tro-tai-dinh-cu-dot-1-du-an-cao-toc-tan-phu-bao-loc-287.html">
<link rel="shortcut icon" href="https://namcattien.dongnai.gov.vn/uploads/namcattien/logo_1.png">
<link rel="canonical" href="https://namcattien.dongnai.gov.vn/vi/news/savefile/thong-tin-tuyen-truyen/thong-bao-niem-yet-cong-khai-phuong-an-boi-thuong-ho-tro-tai-dinh-cu-dot-1-du-an-cao-toc-tan-phu-bao-loc-287.html">
<link rel="alternate" href="https://namcattien.dongnai.gov.vn/vi/news/rss/" title="Tin Tức" type="application/rss+xml">
<link rel="alternate" href="https://namcattien.dongnai.gov.vn/vi/news/rss/van-hoa-xa-hoi/" title="Tin Tức - Văn hoá - Xã hội" type="application/rss+xml">
<link rel="alternate" href="https://namcattien.dongnai.gov.vn/vi/news/rss/bo-thu-tuc-hanh-chinh/" title="Tin Tức - Bộ thủ tục hành chính" type="application/rss+xml">
<link rel="alternate" href="https://namcattien.dongnai.gov.vn/vi/news/rss/xay-dung-dang-doan-the/" title="Tin Tức - Xây dựng Đảng - Đoàn thể" type="application/rss+xml">
<link rel="alternate" href="https://namcattien.dongnai.gov.vn/vi/news/rss/thong-tin-chi-dao-dieu-hanh/" title="Tin Tức - Thông tin chỉ đạo điều hành" type="application/rss+xml">
<link rel="alternate" href="https://namcattien.dongnai.gov.vn/vi/news/rss/cai-cach-hanh-chinh/" title="Tin Tức - Cải cách hành chính" type="application/rss+xml">
<link rel="alternate" href="https://namcattien.dongnai.gov.vn/vi/news/rss/hoat-dong-chinh-quyen-nha-nuoc/" title="Tin Tức - Hoạt động chính quyền nhà nước" type="application/rss+xml">
<link rel="alternate" href="https://namcattien.dongnai.gov.vn/vi/news/rss/an-ninh-quoc-phong/" title="Tin Tức - An ninh - quốc phòng" type="application/rss+xml">
<link rel="alternate" href="https://namcattien.dongnai.gov.vn/vi/news/rss/nong-thon-moi-nong-nghiep/" title="Tin Tức - Nông thôn mới - Nông nghiệp" type="application/rss+xml">
<link rel="alternate" href="https://namcattien.dongnai.gov.vn/vi/news/rss/kinh-te-moi-truong/" title="Tin Tức - KINH TẾ" type="application/rss+xml">
<link rel="alternate" href="https://namcattien.dongnai.gov.vn/vi/news/rss/tra-loi-kien-nghi-cua-to-chuc-ca-nhan/" title="Tin Tức - Trả lời kiến nghị của tổ chức, cá nhân" type="application/rss+xml">
<link rel="alternate" href="https://namcattien.dongnai.gov.vn/vi/news/rss/thong-bao/" title="Tin Tức - Thông báo" type="application/rss+xml">
<link rel="alternate" href="https://namcattien.dongnai.gov.vn/vi/news/rss/xa-thi-tran/" title="Tin Tức - Xã - Thị trấn" type="application/rss+xml">
<link rel="alternate" href="https://namcattien.dongnai.gov.vn/vi/news/rss/thong-tin-du-lich/" title="Tin Tức - Thông tin du lịch" type="application/rss+xml">
<link rel="alternate" href="https://namcattien.dongnai.gov.vn/vi/news/rss/lich-lam-viec/" title="Tin Tức - Lịch làm việc" type="application/rss+xml">
<link rel="alternate" href="https://namcattien.dongnai.gov.vn/vi/news/rss/thong-tin-tuyen-truyen/" title="Tin Tức - Thông tin tuyên truyền" type="application/rss+xml">
<link rel="alternate" href="https://namcattien.dongnai.gov.vn/vi/news/rss/chuyen-doi-so/" title="Tin Tức - Chuyển đổi số" type="application/rss+xml">
<link rel="alternate" href="https://namcattien.dongnai.gov.vn/vi/news/rss/hoi-dong-nhan-dan/" title="Tin Tức - HỘI ĐỒNG NHÂN DÂN" type="application/rss+xml">
<link rel="alternate" href="https://namcattien.dongnai.gov.vn/vi/news/rss/hoi-nghi-truc-tuyen/" title="Tin Tức - Hội nghị trực tuyến" type="application/rss+xml">
<link rel="alternate" href="https://namcattien.dongnai.gov.vn/vi/news/rss/bau-cu-quoc-hoi-khoa-xvi-va-dai-bieu-hdnd-cac-cap-nhiem-ky-2026-2031/" title="Tin Tức - BẦU CỬ QUỐC HỘI KHÓA XVI VÀ ĐẠI BIỂU HĐND CÁC CẤP, NHIỆM KỲ 2026 - 2031" type="application/rss+xml">
<link rel="preload" as="style" href="https://namcattien.dongnai.gov.vn/assets/css/font-awesome.min.css" type="text/css">
<link rel="preload" as="style" href="https://namcattien.dongnai.gov.vn/themes/dongnai/css/bootstrap.min.css" type="text/css">
<link rel="preload" as="style" href="https://namcattien.dongnai.gov.vn/themes/dongnai/css/style.css" type="text/css">
<link rel="preload" as="style" href="https://namcattien.dongnai.gov.vn/themes/dongnai/css/style.responsive.css" type="text/css">
<link rel="preload" as="style" href="https://namcattien.dongnai.gov.vn/themes/dongnai/css/news.css" type="text/css">
<link rel="preload" as="style" href="https://namcattien.dongnai.gov.vn/themes/dongnai/css/custom.css" type="text/css">
<link rel="preload" as="style" href="https://namcattien.dongnai.gov.vn/themes/dongnai/css/dongnai.css" type="text/css">
<link rel="preload" as="style" href="https://namcattien.dongnai.gov.vn/themes/dongnai/js/slick/slick.css" type="text/css">
<link rel="preload" as="style" href="https://namcattien.dongnai.gov.vn/themes/dongnai/js/slick/slick-theme.css" type="text/css">
<link rel="preload" as="script" href="https://namcattien.dongnai.gov.vn/assets/js/jquery/jquery.min.js" type="text/javascript">
<link rel="preload" as="script" href="https://namcattien.dongnai.gov.vn/assets/js/language/vi.js" type="text/javascript">
<link rel="preload" as="script" href="https://namcattien.dongnai.gov.vn/assets/js/DOMPurify/purify3.js" type="text/javascript">
<link rel="preload" as="script" href="https://namcattien.dongnai.gov.vn/assets/js/global.js" type="text/javascript">
<link rel="preload" as="script" href="https://namcattien.dongnai.gov.vn/assets/js/site.js" type="text/javascript">
<link rel="preload" as="script" href="https://namcattien.dongnai.gov.vn/themes/dongnai/js/news.js" type="text/javascript">
<link rel="preload" as="script" href="https://namcattien.dongnai.gov.vn/themes/dongnai/js/main.js" type="text/javascript">
<link rel="preload" as="script" href="https://namcattien.dongnai.gov.vn/themes/dongnai/js/custom.js" type="text/javascript">
<link rel="preload" as="script" href="https://namcattien.dongnai.gov.vn/themes/dongnai/js/slick/slick.js" type="text/javascript">
<link rel="preload" as="script" href="https://namcattien.dongnai.gov.vn/themes/dongnai/js/bootstrap.min.js" type="text/javascript">
<link rel="stylesheet" href="https://namcattien.dongnai.gov.vn/assets/css/font-awesome.min.css">
<link rel="stylesheet" href="https://namcattien.dongnai.gov.vn/themes/dongnai/css/bootstrap.min.css">
<link rel="stylesheet" href="https://namcattien.dongnai.gov.vn/themes/dongnai/css/style.css">
<link rel="stylesheet" href="https://namcattien.dongnai.gov.vn/themes/dongnai/css/style.responsive.css">
<link rel="StyleSheet" href="https://namcattien.dongnai.gov.vn/themes/dongnai/css/news.css">
<link rel="stylesheet" href="https://namcattien.dongnai.gov.vn/themes/dongnai/css/custom.css">
<link rel="stylesheet" href="https://namcattien.dongnai.gov.vn/themes/dongnai/css/dongnai.css">
<link rel="stylesheet" href="https://namcattien.dongnai.gov.vn/themes/dongnai/js/slick/slick.css" />
<link rel="stylesheet" href="https://namcattien.dongnai.gov.vn/themes/dongnai/js/slick/slick-theme.css" />
<style>
          :root {
            --theme-banner-red: url('/uploads/namcattien/bghead_red.jpg');
            --theme-banner-yellow: url('/uploads/namcattien/bghead_yellow.jpg');
            --theme-banner-green: url('/uploads/namcattien/bghead_green.jpg');
          }
        </style>
<style type="text/css">
	body{background: #fff;}
</style>
    </head>
    <body data-timestamp="1776691450">
<div id="print">
	<div id="hd_print">
		<h2 class="pull-left">UBND xã Nam Cát Tiên</h2>
		<p class="pull-right"><a title="UBND xã Nam Cát Tiên" href="https://namcattien.dongnai.gov.vn/">https://namcattien.dongnai.gov.vn</a></p>
	</div>
	<div class="clear"></div>
	<hr />
	<div id="content">
		<h1>Thông báo niêm yết công khai Phương án bồi thường, hỗ trợ, tái định cư &#40;Đợt 1&#41; dự án Cao tốc Tân Phú – Bảo Lộc</h1>
		<ul class="list-inline">
			<li>Thứ sáu - 30/01/2026 11:06</li>
			<li class="hidden-print txtrequired"><em class="fa fa-print">&nbsp;</em><a title="In ra" href="javascript:;" onclick="window.print()">In ra</a></li>
			<li class="hidden-print txtrequired"><em class="fa fa-power-off">&nbsp;</em><a title="Đóng cửa sổ này" href="javascript:;" onclick="window.close()">Đóng cửa sổ này</a></li>
		</ul>
		<div class="clear"></div>
		<div id="hometext">
		</div>
		<div id="bodytext" class="clearfix">
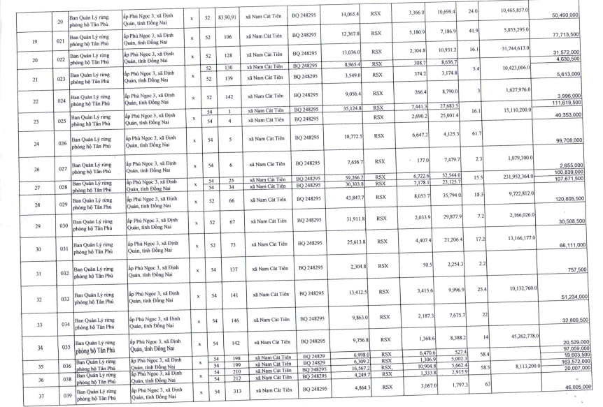
			<div style="text-align: justify;"><span style="font-size:16px;"><span style="font-family:Times New Roman,Times,serif;">UBND xã Nam Cát Tiên Thông báo niêm yết công khai Phương án bồi thường, hỗ trợ, tái định cư (Đợt 1) dự án Cao tốc Tân Phú – Bảo Lộc đoạn qua địa bàn xã Nam Cát Tiên đối với phần bồi thường, hỗ trợ trên diện tích đất thuộc Ban quản lý rừng phòng hộ Tân Phú quản lý.<br />
(Thời gian niêm yết: 10 ngày, tính từ ngày 03/02/2026)<br />
Sau thời gian niêm yết, sẽ tổ chức họp lấy ý kiến về Phương án bồi thường, hỗ trợ, tái định cư để lấy ý kiến theo quy định.</span></span>
<div class="image-center"><img alt="1" height="1026" src="https://namcattien.dongnai.gov.vn/uploads/namcattien/news/2026_02/1.png" width="750" /></div>

<div class="image-center"><img alt="2" height="1011" src="https://namcattien.dongnai.gov.vn/uploads/namcattien/news/2026_02/2.png" width="750" /></div>

<div class="image-center"><img alt="3" height="1006" src="https://namcattien.dongnai.gov.vn/uploads/namcattien/news/2026_02/3.png" width="750" /></div>

<div class="image-center"><img alt="4" height="1059" src="https://namcattien.dongnai.gov.vn/uploads/namcattien/news/2026_02/4.png" width="750" /></div>

<div class="image-center"><img alt="5" height="988" src="https://namcattien.dongnai.gov.vn/uploads/namcattien/news/2026_02/5.png" width="750" /></div>

<div class="image-center"><img alt="6" height="538" src="https://namcattien.dongnai.gov.vn/uploads/namcattien/news/2026_02/6.png" width="750" /></div>

<div class="image-center"><img alt="7" height="1095" src="https://namcattien.dongnai.gov.vn/uploads/namcattien/news/2026_02/7.png" width="750" /></div>

<div class="image-center"><img alt="8" height="288" src="https://namcattien.dongnai.gov.vn/uploads/namcattien/news/2026_02/8.png" width="750" /></div>

<div class="image-center"><img alt="9" height="511" src="https://namcattien.dongnai.gov.vn/uploads/namcattien/news/2026_02/9.png" width="750" /></div>
</div>

<div class="image-center"><img alt="10" height="507" src="https://namcattien.dongnai.gov.vn/uploads/namcattien/news/2026_02/10.png" width="750" /></div>

<div class="image-center"><img alt="11" height="398" src="https://namcattien.dongnai.gov.vn/uploads/namcattien/news/2026_02/11.png" width="750" /></div>
		</div>
				<div id="author">
						<p>
				<strong>Tác giả:</strong>
				<a href="https://namcattien.dongnai.gov.vn/vi/news/author/UBND-xa-Nam-Cat-Tien/">UBND xã Nam Cát Tiên</a>
			</p>
		</div>
	</div>
	<div id="footer" class="clearfix">
		<div id="url">
			<strong>URL của bản tin này: </strong><a href="https://namcattien.dongnai.gov.vn/vi/news/savefile/thong-tin-tuyen-truyen/thong-bao-niem-yet-cong-khai-phuong-an-boi-thuong-ho-tro-tai-dinh-cu-dot-1-du-an-cao-toc-tan-phu-bao-loc-287.html" title="Thông báo niêm yết công khai Phương án bồi thường, hỗ trợ, tái định cư &#40;Đợt 1&#41; dự án Cao tốc Tân Phú – Bảo Lộc">https://namcattien.dongnai.gov.vn/vi/news/savefile/thong-tin-tuyen-truyen/thong-bao-niem-yet-cong-khai-phuong-an-boi-thuong-ho-tro-tai-dinh-cu-dot-1-du-an-cao-toc-tan-phu-bao-loc-287.html</a>

		</div>
		<div class="clear"></div>
		<div class="copyright">
			&copy; UBND xã Nam Cát Tiên
		</div>
		<div id="contact">
			<a href="mailto:webmaster@vinades.vn">webmaster@vinades.vn</a>
		</div>
	</div>
</div>
        <div id="timeoutsess" class="chromeframe">
            Bạn đã không sử dụng Site, <a onclick="timeoutsesscancel();" href="https://namcattien.dongnai.gov.vn/#">Bấm vào đây để duy trì trạng thái đăng nhập</a>. Thời gian chờ: <span id="secField"> 60 </span> giây
        </div>
        <div id="openidResult" class="nv-alert" style="display:none"></div>
        <div id="openidBt" data-result="" data-redirect=""></div>
<div id="run_cronjobs" style="visibility:hidden;display:none;"><img alt="cron" src="/index.php?second=cronjobs&amp;p=m437UdaQ" width="1" height="1" /></div>
<script src="https://namcattien.dongnai.gov.vn/assets/js/jquery/jquery.min.js"></script>
<script>var nv_base_siteurl="/",nv_lang_data="vi",nv_lang_interface="vi",nv_name_variable="nv",nv_fc_variable="op",nv_lang_variable="language",nv_module_name="news",nv_func_name="savefile",nv_is_user=0, nv_my_ofs=7,nv_my_abbr="+07",nv_cookie_prefix="nv4c_Cgoz3",nv_check_pass_mstime=1738000,nv_area_admin=0,nv_safemode=0,theme_responsive=1,nv_recaptcha_ver=2,nv_recaptcha_sitekey="6LfeOC0pAAAAAJwjpRdjkULWldWUIrnKJUng5KHz",nv_recaptcha_type="image",XSSsanitize=1;</script>
<script src="https://namcattien.dongnai.gov.vn/assets/js/language/vi.js"></script>
<script src="https://namcattien.dongnai.gov.vn/assets/js/DOMPurify/purify3.js"></script>
<script src="https://namcattien.dongnai.gov.vn/assets/js/global.js"></script>
<script src="https://namcattien.dongnai.gov.vn/assets/js/site.js"></script>
<script src="https://namcattien.dongnai.gov.vn/themes/dongnai/js/news.js"></script>
<script src="https://namcattien.dongnai.gov.vn/themes/dongnai/js/main.js"></script>
<script src="https://namcattien.dongnai.gov.vn/themes/dongnai/js/custom.js"></script>
<script src="https://namcattien.dongnai.gov.vn/themes/dongnai/js/slick/slick.js"></script>
<script type="application/ld+json">
        {
            "@context": "https://schema.org",
            "@type": "Organization",
            "url": "https://namcattien.dongnai.gov.vn",
            "logo": "https://namcattien.dongnai.gov.vn/uploads/namcattien/logo_1.png"
        }
        </script>
<script type="text/javascript">
            var nv_site_theme = 'dongnai';
        </script>
<script src="https://namcattien.dongnai.gov.vn/themes/dongnai/js/bootstrap.min.js"></script>
</body>
</html>