Thông báo niêm yết công khai Phương án bồi thường, hỗ trợ, tái định cư (Đợt 1) dự án Cao tốc Tân Phú – Bảo Lộc
UBND xã Nam Cát Tiên
2026-02-03T11:59:04+07:00
2026-02-03T11:59:04+07:00
https://namcattien.dongnai.gov.vn/vi/news/thong-tin-tuyen-truyen/thong-bao-niem-yet-cong-khai-phuong-an-boi-thuong-ho-tro-tai-dinh-cu-dot-1-du-an-cao-toc-tan-phu-bao-loc-287.html
https://namcattien.dongnai.gov.vn/uploads/namcattien/news/2026_02/images.png
UBND xã Nam Cát Tiên
https://namcattien.dongnai.gov.vn/uploads/namcattien/logo_1.png
Thứ sáu - 30/01/2026 11:06
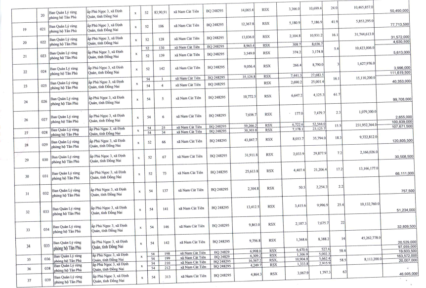
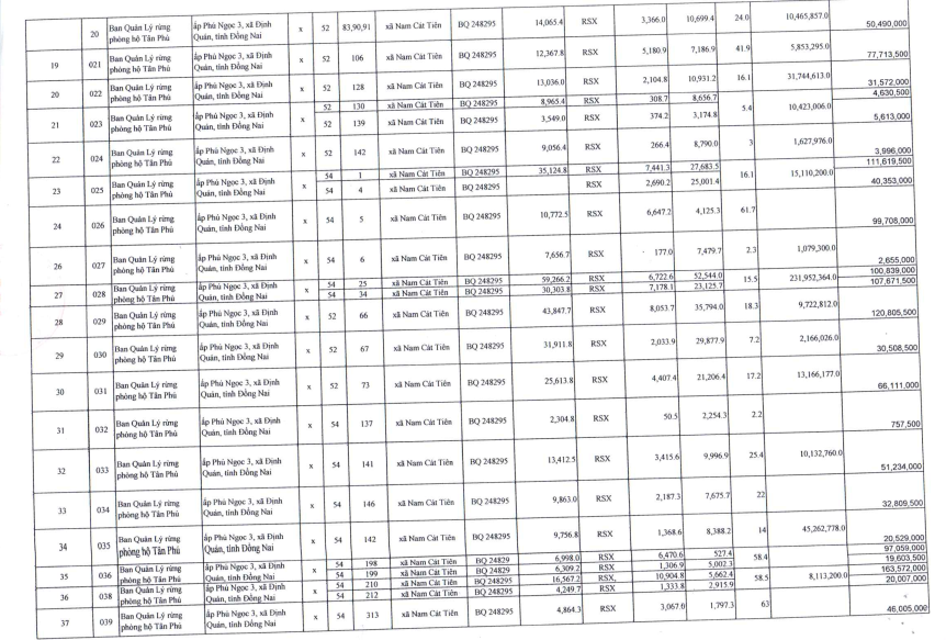
UBND xã Nam Cát Tiên Thông báo niêm yết công khai Phương án bồi thường, hỗ trợ, tái định cư (Đợt 1) dự án Cao tốc Tân Phú – Bảo Lộc đoạn qua địa bàn xã Nam Cát Tiên đối với phần bồi thường, hỗ trợ trên diện tích đất thuộc Ban quản lý rừng phòng hộ Tân Phú quản lý.
(Thời gian niêm yết: 10 ngày, tính từ ngày 03/02/2026)
Sau thời gian niêm yết, sẽ tổ chức họp lấy ý kiến về Phương án bồi thường, hỗ trợ, tái định cư để lấy ý kiến theo quy định.